Узбекистан

09.07.2020 | 10:00

ООО Roodell – официальный импортёр LADA в Узбекистане объявил об очередной акции по снижению предоплаты на автомобили LADA в лизинг

Вся информация о формировании цен и процентной ставки на автомобили LADA Vesta седан.

Самое выгодное предложение начинается с комплектации «Classic / Start» со стоимостью 115.900.000 сум. Минимальная предоплата на данную комплектацию по лизингу составляет 13,5% от стоимости автомобиля, но стартовое вложение включает в себя дополнительные расходы по оформлению автомобиля.

Стартовое вложение включает следующие расходы:
- предоплата, начиная от – 20% (от 13,5% только на Classic / Start);
- комиссия лизинговой компании – 5%;
- дорожный фонд – 3%;
- регистрация номера и техпаспорта;
- страховой полис КАСКО (на весь срок лизинга).

Таблица расчетов моделей LADA Vesta седан в лизинг с предоплатой 20% - на 36 месяцев

Комплектация «Classic / Start» реализуется в лизинг с предоплатой от 13,5%

Комплектация «Classic / Start» реализуется в лизинг с предоплатой от 13,5%

Примечание: При минимальной предоплате 20% переплата за весь срок лизинга (36 месяцев) составляет 54%, в год – по 18%, в месяц – по 1,5%.

Таблица расчетов моделей LADA Vesta седан в лизинг с предоплатой 50% - на 36 месяцев

Примечание: При предоплате 50% переплата за весь срок лизинга (36 месяцев) составляет 38%, в год – по 12,7%, в месяц – по 1,1%.

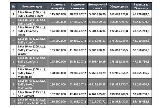
Таблица расчетов моделей LADA Vesta седан в лизинг с предоплатой 20% - на 24 месяца

Комплектация «Classic / Start» реализуется в лизинг с предоплатой от 13,5%

Комплектация «Classic / Start» реализуется в лизинг с предоплатой от 13,5%

Примечание: При предоплате 20% переплата за весь срок лизинга (24 месяца) составляет 38%, в год – по 19%, в месяц – по 1,6%.

Таблица расчетов моделей LADA Vesta седан в лизинг с предоплатой 50% - на 24 месяца

Примечание: При предоплате 20% переплата за весь срок лизинга (24 месяца) составляет 28%, в год – по 14%, в месяц – по 1,2%.

Таблица расчетов моделей LADA Vesta седан в лизинг с предоплатой 20% - на 13 месяцев

Примечание: При предоплате 20% переплата за весь срок лизинга (13 месяцев) составляет 24,5%, в месяц – по 1,6%.

Таблица расчетов моделей LADA Vesta седан в лизинг с предоплатой 50% - на 13 месяцев

Примечание: При предоплате 50% переплата за весь срок лизинга (13 месяцев) составляет 19%, в месяц – по 1,5%.

Важно: Предложение действует до 31 июля 2020 года, а так же количество автомобилей ограничено. Расчет ежемесячного платежа, сформированный при помощи маркетинговых скидок, является предварительным, подлежит уточнению перед или непосредственно при заключении договоров лизингования/страхования, носит исключительно информационный характер и ни при каких условиях не является публичной офертой, определяемой положениями Статьи 369 ч.2 Гражданского кодекса Республики Узбекистан. Для получения подробной информации обращайтесь к официальным дилерам ООО «Roodell».

Ознакомиться со списком дилеров LADA Uzbekistan можно на официальном сайте.

на правах рекламы

Популярные новости